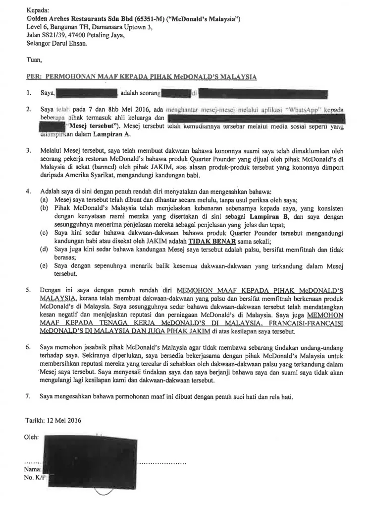
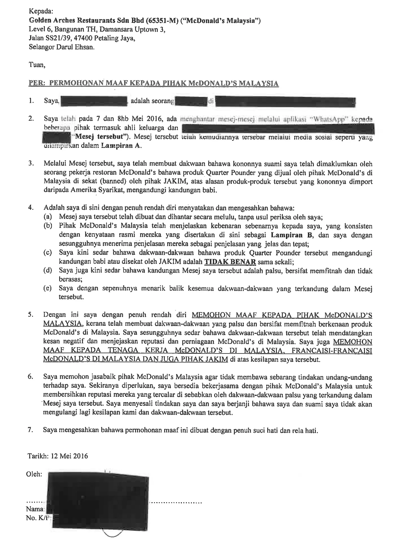
A false allegation about a McDonald’s item is making its rounds again, placed their “halal” certification into question. But don’t worry, you can have all the McDonald’s burgers you want.
The fast-food chain refuted the claim that their “Quarter Pounder with Cheese” product was removed because it was “banned by JAKIM”. McDonald’s also revealed that they have been in touch with the source of the allegation, and that she has since stepped up and apologised to McDonald’s and all of the parties affected.

Earlier last month, a message that was circulating on social media stated that the aforementioned burger set was removed as it did not comply with JAKIM’s “halal” standards.
The unnamed accuser explained that she sent a WhatsApp message to her family members regarding the issue as her husband was informed by one of the McDonald’s staff that the product contained pork imported from the USA. The message then spread like wildfire on social media, causing confusion amongst consumers.
In an apology letter to McDonald’s signed 12th May, she expressed her regret in acting rashly without seeking confirmation from the fast food chain or JAKIM and will do her best to help clear the tarnished reputations of the parties involved.

In a statement dated 9th May, McDonald’s clarified:
The “Quarter Pounder with Cheese” is one of the products being phased out at our restaurants nationwide as part of our menu rationalisation to make way for new menu items in the future.
They also reassured customers that all of their products are certified “halal” by JAKIM or by authorities that are recognised by JAKIM.
JAKIM reaffirmed the fact in a statement to Bernama, elucidating that McDonald’s is a valid halal certificate holder and is “committed to the procedures and standards” set by them.
“We hope that this matter is no longer played up by the public,” said JAKIM.

To learn more about McDonald’s Malaysia’s “halal” standards and compliance, feel free to visit http://www.mcdonalds.com.my/food/halal.











